(1) If a + b + c = 2x then what is the value of (x - a)3 +(x-b)3 +3(x-a)(x-b)c ?
(A) x3
(B) x-3
(C) c3
(D) b3
(2) Three friends A, B and C started a business by investing amount in the ratio of 5 : 7 : 6 respectively. After a period of six months C withdrew half of the amount invested by him. If the amount invested by A is Rs. 40000 and the total profit earned at the end of one year is Rs. 33000, what is C's share in profit?
तीन मित्र A, B और C, 5 : 7 : 6 के अनुपात में धन निवेश करके एक व्यापार प्रारम्भ करते हैं। 6 महीने के बाद C अपने निवेशित धन में से आधा धन निकाल लेता है। यदि A द्वारा निवेशित धन 40000 रू. है और एक वर्ष के अंत में कुल अर्जित लाभ 33000 रू. हो, तो लाभ में C का हिस्सा क्या है?
(A) Rs./रु.8000
(B) Rs../रु.7200
(C) Rs../रु.9000
(D) Rs../रु.8800
(3) 33 men can complete a work in 30 days if 44 men started the same work together and after every day of the work, one person leaves then in how many days work will finish?
33 व्यक्ति किसी काम को 30 दिनों में पूरा करते हैं यदि 44 व्यक्ति इसी काम की शुरूआत करें और प्रत्येक दिन के बाद 1 आदमी काम छोड़ दे तो कार्य कितने दिनों मे पूरा होगा?
(A) 21
(B) 42
(C) 45
(D) 44
(4) If 4x× 2y=128 and 33x×32y-9xy=0 the the value of x2-y2can be-
यदि 4x × 2y=128 और 33x × 32y - 9xy = 0 तो x2-y2 का मान हो सकता है-
(A) 2
(B) 5
(C) -5
(D) 7
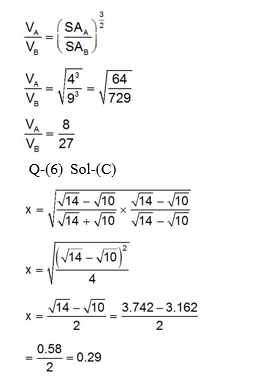
(5) If the ratio of surface area of two spheres A and B is 4 : 9. Then find the ratio of their volumes.
यदि दो गोलों A तथा B के पृष्ठ क्षेत्रफल का अनुपात 4 : 9 है तो उनके आयतन का अनुपात ज्ञात कीजिए।
(A) 8 : 27
(B) 27 : 8
(C) 64 : 27
(D) 27 : 64
(A) 1.24
(B) 0.87
(C) 0.29
(D) 1.72
(A) 0.09
(B) 0.15
(C) 0.11
(D) 0.07
(8) A sum of Rs. 11850 was divided in Rajesh, Ranjeet and Ramesh. Rajesh invests his money in a bank for 3 years which gives 12% rate of interest, Ranjeet invests his money in a bank for 2.5 years which gives 15% rate of interest and Ramesh invests his money in a bank for 1.5 years which gives 20% rate of interest. If they get equal interest, find the amount given to Ramesh.
11850 रूपये का एक धन राजेश, रंजीत तथा रमेश में बांटा गया। राजेश ने अपना धन एक बैंक में 3 वर्षों के लिए निवेश किया जो 12% की ब्याज दर देता है, रंजीत ने अपना धन एक बैंक में 2.5 वर्षों के लिए निवेश किया जो 15% की ब्याज दर देता है तथा रमेश ने अपना धन एक बैंक में 1.5 वर्षों के लिए निवेश किया जो 20% की ब्याज दर देता है। यदि उन्हें समान ब्याज प्राप्त हुआ, तो रमेश को मिलने वाला धन ज्ञात कीजिये ।
(A) Rs. 3000
(B) Rs. 4000
(C) Rs. 4200
(D) Rs. 4500
(9) A shopkeeper sells an article at loss of 15% but also uses a false weight of 1200 gms instead of 1.5 kg. Find his overall profit percent if his total sale today was 150 kg.
एक दुकानदार किसी वस्तु को 15% हानि पर बेचता है साथ ही साथ 1.5 किलोग्राम के स्थान पर 1200 ग्राम के गलत बाट का प्रयोग करता है उसके समग्र लाभ प्रतिशत की गणना कीजिये यदि आज उसकी कुल बिक्री 150 किलोग्राम थी।
(A) 4.75%
(B) 2%
(C) 2.5%
(D) 6.25%
(10) Find the difference of CI and SI on a sum of Rs. 30240 invested for 3 years at
rate of interest per annum.
30240 रूपये पर चक्रवृद्धि ब्याज तथा साधारण ब्याज का अन्तर ज्ञात कीजिए यदि धन को 3 वर्षों के लिये
वार्षिक ब्याज दर पर निवेश किया गया है।
(A) Rs. 2500
(B) Rs. 2440
(C) Rs. 2660
(D) Rs. 3120
Answer Key-
Q-(1) Sol-(C)
a+b+c = 2x
(x-a)+(x-b)-c = 2x - (a+b+c) = 2x-2x = 0
(x-a)3+(x-b)3-c3 +3(x-a)(x-b)(c)=0
(a+b+c=0 a3+b3+c3 = 3abc)
(x-a)3+(x-b)3+3(x-a)(x-b)(c) = c3
Q-(2) Sol-(C)
A : B : C = 5 : 7 : 6,
After 6 months/6 eghus ckn
A : B : C = 60 : 84 : 54
C's share /C dk Hkkx
= 9/3× 33000 = Rs. 9000
Q-(3) Sol-(D)
Q-(4) Sol-(C)
Q-(5) Sol-(A)
Q-(6) Sol-(C)
Q-(7) Sol-(D)
Q-(8) Sol-(D)
Q-(9) Sol-(D)
Q-(10) Sol-(C)



